近年來國內礦用汽車發展迅速,但與之配套的液力變速箱發展較緩慢,總體壽命較短,主要是礦山道路標準低、彎道多、坡路多、轉彎半徑小,多數礦用汽車礦山滿載連續上坡,發動機和傳動系滿負荷運行時間長所致。在國外變速箱的基礎上,從事礦山設備研究的 科技人員研制出 ZBYX4451 型液力變速箱。此變速箱采用液力驅動,配置液力變矩器和緩行器,機械傳動采用行星齒輪結構,結構緊湊,可較好適應礦山工作環境。
一、液力變速箱結構
圖 1 所示為變速箱結構簡圖。液力變速箱主要包括液力變矩器、液力緩行器、六組濕式離合器和四組行星排、雙聯泵及液壓附件等元件, 動力由前端輸入軸 1 到變矩器渦輪 2 和變矩器泵輪 3,經過液力緩行器 16 傳遞到前進擋離合器 4,經過中間傳動軸 15 將動力傳遞到行星齒輪排 (以下簡稱行星排) (11 ~ 14),由壓力油驅動控制不同的擋位離合器 (5 ~ 9),可以使相應的行星齒輪副動作,輸出 5 個前進擋和 1 個倒退擋,最終由輸出軸 10 輸出動力。

液力變矩器
該變速箱使用的是單級三元件綜合式變矩器,工作時變矩器的泵輪 3 由發動機驅動,帶動變矩器內的液力油轉動,從泵輪空腔的液力油沖擊渦輪空腔中的斜面,驅使渦輪 2 轉動,再通過變矩器導輪 18 的葉面回到泵輪,液力油在變矩器中循環流動,實現由泵輪到渦輪的動力傳遞。
當負荷較大、轉速較低時,渦輪出口處液流沖擊在導輪的葉片上,安裝在導輪上的超越離合器壓緊工作,導輪不轉動但要承受扭矩,渦輪輸出扭矩較小。此時變矩器效率較低,車輛處在起動或上坡工況。泵輪轉速繼續升高,接近渦輪轉速時,導輪的超越離合器開始放松,此時變矩器轉入耦合器工況工作,泵輪與渦輪轉矩相近,效率較高。當閉鎖離合器工作時,渦輪和泵輪成剛性連接,傳動效率接近100% ,此工況是礦用汽車在平路工作時運行使用。
液力緩行器
變速箱配有液力緩行器,其處于變矩器和行星齒輪之間,由變速箱的殼體組成封閉空腔,內部有轉子可以隨傳動軸轉動。車輛在平路正常行駛時,液力緩行器空腔內沒有液壓油,轉子在空腔內轉動,攪動空氣只損耗極少的功率,車輛下坡時,通過液控閥向液力緩行器空腔充油液,轉子轉動油液造成阻力,用于抵消下坡產生過多的機械能,對汽車起輔助制動作用。液力緩行器轉子轉速與轉矩的關系如圖 2 所示。

行星齒輪機械變速器
變速箱換擋裝置采用行星齒輪傳動和濕式離合器結構,共有 4 套行星排 (11 ~ 14) 和 6個離合器 (4 ~ 9),每套行星排包括 1 個太陽輪、4 個行星輪 (構成行星輪架) 和 1 個內齒圈。動力由中間傳動軸可以傳遞到三、四級行星排的太陽輪,通過不同離合器的接合,控制行星排中的構件,以不同速度的輸出動力。擋位和離合器接合對應表如表 1 所示。

下面介紹擋位傳動比的計算。
一個獨立運行的行星排的構件角速度方程式為
式中,ωa 為行星排太陽輪的角速度;ωb 為行星排內齒圈的角速度;ωH 為行星排行星輪架的角速度;p 為行星排的特性參數,
zb 是行星排內齒圈的齒數,za 是行星排太陽輪的齒數。
計算行星齒輪機械變速器的擋位傳動比,在角速度方程式基礎上,由星結構的連接關系得出關系式,經換算整理就可計算出輸入和輸出速度的比值。
一擋:由前進擋離合器 4 和一擋離合器 9 接合完成,動力由前進擋離合器傳到中間傳動軸 15,然后傳到四級行星排 14 的太陽輪上,由行星輪架直接輸出。
由角速度方程式得
一擋離合器接合后,內齒圈的速度為 0,即 ωb4 = 0。

式中,i1為一擋變速箱傳動比。
二擋:由前進擋離合器 4 和二擋離合器 8 接合完成,動力由前進擋離合器傳到中間傳動軸 15,再傳到三級行星排 13 的太陽輪上,由行星輪架輸出。
計算方法與一擋一樣,由 za3 = 42,zb3 = 92 可得出
式中,i2 為二擋變速箱傳動比。
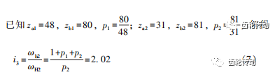
三擋:由前進擋離合器4 和三擋離合器7接合完成,動力被傳遞到中間傳動軸15,使三級行星排 13 的太陽輪和二級行星排 13 的內齒圈同轉速,然后由二級行星排的行星輪架輸出。
一級和二級行星排的角速度方程式為

由于一擋離合器接合,一級行星排的行星輪架固定,則 ωH1 = 0。
由行星排的連接關系可得 ωa1 =ωa2 ,ωb1 =ωH2 。

式中,i3為三擋變速箱傳動比。
四擋:由前進擋離合器 4 和四擋離合器 6 接合完成,此時動力由中間傳動軸 15 傳到二級行星排 13 的內齒圈,再由二級行星排的行星輪架輸出。
由二級行星排的角速度方程式得
四擋離合器接合后,二級行星排的太陽輪固定,即 ωa2 = 0。

式中,i4為四擋變速箱傳動比。
五擋:由前進擋離合器 4 和五擋離合器 5 接合完成,動力傳到二級行星排 13 的內齒圈,同樣由二級行星排的行星輪架輸出。
由二級行星排的角速度方程式得
五擋離合器接合后,二級行星排的太陽輪和內齒圈轉速相等,即 ωa2 =ωb2 ,解得
式中,i5 為五擋變速箱傳動比。
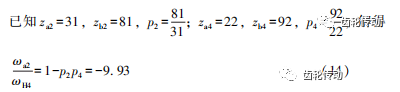
倒擋:由五擋離合器 5 和一擋離合器 9 接合完成,此時動力傳到二級行星排的太陽輪,由二級行星排的內齒圈傳通過三級行星排的太陽輪遞到四級行星排的太陽輪,再由四級行星排的行星輪架輸出。
由二級和四級行星排的角速度方程式得

根據行星排之間的連接關系得 ωb2 =ωa4 ,ωH2 =ωH4。
一擋離合器接合后,四級行星排的太陽輪固定,故 ωb4 = 0。

液壓系統
液力變速箱的液壓系統有換擋、潤滑、保證變矩器和液力緩行器運轉的功能,液壓系統原理如圖 3 所示。

此變速箱液壓系統有 2 個油泵 26 和 27,吸油前均先經過吸油過濾器 28,油泵 27 提供的液壓油經過精濾器 25 后給換擋系統和變矩器供油,安全閥 18 保證液壓油壓力小于 2. 8 MPa。當換擋回路中擋位控制閥 (8 ~ 19) 打開時,液壓油通至換擋油缸 (1 ~ 6) 實現換擋。需要閉鎖時,液力變矩器閉鎖控制閥 8 打開,液壓油通至前進擋換擋油缸 1 實現變矩器閉鎖。油泵 26 直接將液壓油提供至變速箱的潤滑系統,潤滑調壓閥 24 保證潤滑壓力小于 0. 3 MPa,多余的液壓油通至液力變矩器。
不打開擋位控制閥時,液壓油通過主壓調壓閥 17 進入液力變矩器 16,變矩器調壓閥 23 保證液壓油壓力小于 0. 8 MPa 以確保變矩器正常工作。液壓油通過液力變矩器進入緩行器控制閥 19,經過油水熱交換器 21 冷卻后,再經過回油調壓閥回到油箱,回油調壓閥的作用是保證整個系統壓力大于 0. 1MPa。
液壓油由換擋回路引入緩行器先導閥 15,當打開先導閥電磁開關時,閥芯滑動使緩行器控制閥 19 的液壓油壓力升高,控制閥滑閥換位,此時油水熱交換器 21 的液壓油經過緩行器控制閥 19 的一個腔進入液力緩行器 20 的轉子室,產生制動力矩。液壓油再通過緩行器控制閥 19 的另外一個腔進入油水熱交換器 21,形成液力緩行器的循環回路。
二、結論
本論文主要論述了用于礦用汽車的 ZBYX4451 型液力變速箱的結構,包括液力變矩器、液力緩行器、行星齒輪變速機構和液壓系統。此變速箱對行駛過程中的沖擊可實現有效緩沖,下坡時避免制動裝置過度使用而產生高溫,車輛更加安全,可以很好地適應礦山的工作環境。
