面齒輪是一種新型空間動力傳遞形式。相比于標準的螺旋錐齒輪傳動,面齒輪具有質量輕、高互換性、結構簡單、對軸向誤差不敏感的優點,目前已被應用于直升機重載傳動系統當中,未來應用前景廣闊。為了提高面齒輪的加工效率,面齒輪高效成型方法及其相關刀具的研究是實現其工程應用的關鍵因素。
面齒輪現有加工技術包括插齒、銑齒、滾齒加工方法及一些非主流工藝(如增材制造、鍛造、插銑等)。其中,最常見的是面齒輪插齒加工方法,也是最早形成的面齒輪加工方法,其通過模擬插齒刀和面齒輪的嚙合運動加工齒面,缺點是插齒刀的進給量對面齒輪齒面精度有很大的影響且加工效率低下。滾齒是一種高效的加工方法,通過刀具與面齒輪的定比例轉動連續展成出完整的面齒輪齒面,缺點是滾刀形貌復雜,制造成本高。因此,有必要提出一種新型面齒輪高效加工方法,在提高加工效率的同時控制刀具的制造成本。
強力車齒技術于 1910 年提出,由于其特殊的切削方法,強力車齒的加工效率極高,加工方式更簡便,尤其是應用在漸開線圓柱內齒輪加工上。
為實現面齒輪的高效加工,車齒刀具的研究同樣是關鍵部分。近年來,車齒刀具的設計和制造技術取得了長足的進步,各種新型高性能車齒刀具不斷涌現,包括漸開線車齒刀具和非漸開線車齒刀具。Chen 等提出了內斜齒輪無誤差直齒車齒刀具的設計方法,并給出了刀具主齒面的磨削方法。賈康等提出了一種根據工件形狀反求車齒刀型線的非漸開線圓柱齒輪通用計算方法。
車齒加工是加工圓柱內齒輪的一種連續展成法,其設計基于空間交錯軸齒輪嚙合原理。在加工過程中,刀具與工件按固定比例轉動,同時刀具沿工件徑向移動,切除工件表面的材料,達到加工齒形的目的。車齒加工方法目前已應用于多種類型齒輪加工,尤其是漸開線圓柱內齒輪,較少應用于面齒輪加工。北京航空航天大學王延忠團隊開展了面齒輪車齒加工研究,結果表明,車齒加工面齒輪不僅可實現齒面的連續展成,同時還提高了齒面的表面完整性。
為了縮短面齒輪的制造周期,本文研究了面齒輪的連續展成車齒加工方法。通過建立車齒加工坐標系,分析車齒加工運動關系模型,推導得到了車齒加工過程中切削速度的數學表達式。建立車齒刀具數學模型,推導得到刀具切削角度數學表達式,獲得了刀具切削角度在加工時的變化過程。基于仿真及加工試驗對面齒輪車齒加工方法的可行性進行了驗證。
一、車齒數學模型
車齒加工坐標系:車齒可以看作是滾齒和插齒的結合。在加工過程中,刀具和工件同時圍繞中心軸高速旋轉。同時,刀具沿工件徑向(圖 1 中 y 方向)移動,逐層切除工件,當刀具從工件的外圓平移到內圓時,即可完成整個面齒輪的加工。

圖 1 車齒加工示意圖
加工坐標系如圖 2 所示。在車齒過程中,工件繞zp軸旋轉,而Sp ( Opxpypzp ) 是工件的空間固定坐標系,與工件的初始位置重合。So (Ooxoyozo) 是車齒刀具的空間固定坐標系,與車齒刀具的初始位置重合。在加工過程中,刀具圍繞 zo軸旋轉并沿 yp方向進給。zp和yo之間的距離是 a,并且隨著加工的進行 a 逐漸減小。yp和zo之間的角度是 Σ。由于該角度的存在,加工過程中刀具與工件之間才會產生切削力以切除材料。Ss (Osxsyszs)和 S2 (O2x2y2z2)是與車齒刀具和工件固定連接的空間動態坐標系。當 Ss相對于So旋轉角度?s 時,S2相對于Sp旋轉角度?2。

圖 2 車齒加工坐標系
根據空間坐標變換原理,工件坐標系S2 與車齒刀具坐標系 Ss之間的變換關系可表示為

其中:Ms2為從坐標系S2到坐標系 Ss的坐標變換矩陣,可由 Mso 、Moq、Mqp和 Mp2相乘得到。
車齒切削速度:車齒是一種利用空間交錯軸齒輪嚙合原理的連續展成方法。當刀具和工件定比例旋轉運動時,刀具和工件在切削點的相對速度就產生了。由于相對速度不等于零,使得車齒加工是可能的。利用車齒加工坐標系,車齒刀具在切削點的切削速度便可以求得。
相對速度是刀具速度和工件速度之間的差值。相對速度的求解需要運用到刀具和工件 2 個坐標系之間的相對位置矢量項,由式(1)可知,相對位置矢量項如下:

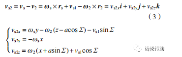
只要已知刀具和工件的位置矢量和角速度,就可以得到相對速度。相對速度vs2可表示為

式中:ωs和 ω2分別為刀具和工件的角速度;rs 和 r2 分別為刀具和面齒輪上的點到各自動坐標系原點的矢量;vs1為刀具的進給速度;Σ為刀具和工件之間的角度;(x,y,z)為坐標系So 中切削點的坐標值,相對速度vs2 也基于坐標系So。
車齒刀結構設計:車齒刀結構與斜齒圓柱齒輪類似,通過在斜齒圓柱齒輪上附加刀具前角和后角即可得到車齒刀三維形貌。
前刀面是刀具切削過程中最重要的組成因素,由于其與工件切屑層直接接觸,切屑在其上發生變形、斷裂,直接影響工件表面切削的質量。為便于說明,采用斜齒條為例來描述車齒刀前刀面的形成過程,如圖 3 所示。車齒刀近似于螺旋齒輪,若直接選用端平面作為前刀面,則會出現 2 條側刃的其中 1 條加工前角為負的情況,稱該側刃為鈍邊。為避免上述情況發生,前刀面需與端面產生一個夾角β,且β正好等于車齒刀螺旋角,如此便形成了平面 1。同時為保證頂刃具有加工正前角,使前刀面與平面 1 形成一個角度γ,同時將前刀面兩側設置成碗狀形式,用以增大兩側刀刃的加工前角,使得兩側前刀面具有不同的β值,分別為β1 和β2,由此得到最終的前刀面。設計 γ = 3,β = 23 ,β1 = 5 ,β2 = 70。

圖 3 車齒刀前刀面形成過程
車齒刀后刀面分為主后刀面、切入側后刀面和切出側后刀面(由于實際加工過程中車齒刀兩側刃不是同時切入和切出工件,定義先切入工件的一側刀刃為切入刃,另一側為切出刃),為保證車齒加工過程中刀具后刀面不與工件發生接觸,將主后刀面設計成圓錐面,將側后刀面設計成不同螺旋角的螺旋面。圖 4 為車齒刀結構示意圖。

圖 4 車齒刀結構示意圖
車齒切削角度:首先選定車齒刀具切削刃上一點 M,建立刀具角度基準平面,如圖 5 所示。假設切削刃點 M 處的切削速度為V,則基面 Pr垂直于切削速度V ,切削平面Ps 由切削速度V和 M 處的切向量 q組成,主截面 Po同時垂直于基面 Pr和切削平面Ps。

圖 5 刀具角度基準平面
在主截面 Po中定義刀具的切削前角和切削后角。主截面Po 和基面 Pr的交線與主截面 Po和前刀面的交線之間的夾角是切削前角 γ0。主截面 Po與切削平面Ps的交線與主截面Po與后刀面的交線之間的夾角為切削后角 α0,如圖 6 所示。

圖 6 主界面中的切削角度
根據切削角度的定義,切削前角 γ0和切削后角α0 可以表示為

其中:Ns、No、Nq 和 Nh分別為切削平面法矢、主截面法矢、前刀面法矢和后刀面法矢。
由圖 3 所示前刀面形成過程,前刀面法矢可求得為Nq = (−sin β,tan γ, cos β) ,而后刀面為理論螺旋面,其上任一點法矢Nh 也可求得。因切削平面 Ps由切削速度V 和切矢q構成,切削平面法矢Ns 可表示為:Ns = V × q , 而切矢q 同時垂直與Nq和Nh,有 q = Nq × Nh。主截面法矢No 同時垂直于Ns 和V,有No = Ns ×V。
二、切削角度計算
加工過程中切削變化:在車齒過程中,車齒刀具的每個刀齒都會經歷從切入工件到切出工件的過程。在該過程中,車齒刀具在接觸點的切削速度是不斷變化的,切削角度也在不斷變化。基于表 1 所列參數,對車齒加工過程及不同結構參數對切削角度的影響進行分析。
表 1 車齒基本參數

圖 7 為車齒刀具切削前角隨刀具轉角的變化,選取了車齒刀刀刃上齒底、齒中、齒頂 3 個點,輸出了刀齒由切入到切出工件整個過程的切削前角變化情況。可以看出,隨著刀齒的切入到切出,切入刃前角先減后增,切出刃前角一直減小,切入刃齒頂前角最大,切出刃齒頂前角最小,總體來看,前角恒為正,滿足加工需求。

圖 7 切削前角隨刀具轉角的變化
結構參數對切削角度影響規律:車齒刀結構參數包括模數、齒數、螺旋角、壓力角、其中,模數和壓力角對刀具切削角度的影響很小,因此,主要分析刀具齒數和螺旋角β1、β2對切削角度的影響規律。
在工件齒數不變的情況下,改變刀具齒數主要影響傳動比,從而改變工件相對刀具的切削速度。圖 8 為刀具齒數對切削前角的影響。可見,刀具齒數對于刀具前角的影響無明顯規律,而前角隨刀具轉動過程的變化趨勢基本相同。

圖 8 刀具齒數對切削前角的影響
圖 9 為刀具螺旋角β對切削前角的影響。可見,β1 增大會導致負前角出現,而 β2減小則會導致負前角出現。因此,在設計面齒輪車齒刀時,應嚴格控制 β1、β2的大小。

圖 9 刀具螺旋角對切削前角的影響
三、仿真加工試驗
車齒加工仿真:利用 VERICUT 仿真軟件進行車齒加工仿真,先根據實際加工要求建立虛擬加工機床,再導入待加工刀具和工件毛坯的三維模型,并根據加工過程中刀具與工件的相對位置編寫數控代碼進行虛擬加工驗證。該方法能直觀地模擬真實的車齒加工過程和齒面成形過程,從而驗證車齒加工的可行性和車齒刀具結構設計的正確性。
為了驗證面齒輪根切和變尖現象,將毛坯的內外半徑設置為與面齒輪根切和變尖半徑,給出了車齒過程的仿真過程和結果。可見,隨著加工的進行,工件的齒形由外向內逐漸形成。加工結果與預期假設一致,驗證了車齒工藝的可行性。
仿真得到工件單個齒槽成型過程如圖 10 所示。刀具切削刃切入工件后,刀具與工件開始進行空間展成切削,單個齒槽的切削成型過程如圖 11 所示。可以看出,刀具和工件展成運動形成工件齒槽的全過程,刀具的切入刃、頂刃與切出刃從切入到切出的過程中,形成工件齒槽的左右齒面并不相同,切出刃相較于切入刃更早地加工出面齒輪齒形。

利用 VERICUT 提供的“自動比較”功能分析刮齒加工后面齒輪與標準面齒輪的齒面偏差。由圖 12 可以看出,刮齒加工仿真得到的面齒輪模型與理論模型存在一定的差距,具體表現為面齒輪齒根處發生過切和面齒輪齒頂處發生殘留,最大過切及殘留量約為 0.05 mm。產生這一結果的主要原因是:由于刮齒刀結構前角的存在,使得刀具切削刃并非理論的漸開線,刀具前角給加工引入了一定的誤差。

車齒切削力仿真計算:利用 UG 三維建模軟件實現車齒刀的幾何建模,為了簡化計算,僅選取整個車齒刀的 5 個齒作為分析對象,得到車齒刀的最終實體模型,如圖 13 所示。

圖 13 車齒刀幾何模型
利用 VERICUT 軟件,可以得到加工過程中某一時刻的工件模型。在 DEFORM 軟件中,只需預先給刀具施加一個軸向位移,就可以模擬刀具在下一次進給時的切削情況。圖 14 為從 VERICUT 軟件中提取的工件車齒過程中某一時刻的切削模型。

在設置刀具與工件的安裝夾角后,應通過調整刀具沿工件的徑向距離,使刀具盡可能貼近工件,以減少最初的仿真計算時間,刀具與工件的位置關系如圖 15 所示。

通過分析步驟歷史,得出了車齒過程中刀具切削力的變化規律,如圖 16 所示。可以看出,刀具在 y 方向(工件徑向)受到的力最大。為了粗略估計車齒過程的平均切削力,取第 80 步分析后刀具切削力的平均值作為車齒過程刀具切削力的估計值,此處計算的平均切削力為 3 247 N。

切削力影響因素分析:選擇 2 個對切削力有顯著影響的工藝參數,即刀具轉速和刀具進給量。通過單因素試驗,研究了 2 種工藝參數對切削力的影響,仿真參數如表 2 所示,其中,刀具進給量為車齒加工時工件每轉過一周時刀具沿工件徑向的進給量。
表 2 車齒仿真加工參數

隨著進給量的增加,刀具的切削力逐漸增大,且呈線性變化趨勢。分析原因為:隨著進給速度的增加,刀具一次切削材料較多,刀具與工件之間的接觸面積增大,導致切削力增加,如圖 17 所示。

隨著刀具轉速的增加,切削力逐漸減小,且減小趨勢逐漸減小。因此,較高的刀具轉速有利于齒加工,如圖 18 所示。

圖 18 刀具轉速對切削力的影響
車齒加工試驗:在面齒輪專用數控加工機床上開展了面齒輪車齒加工試驗,如圖 19 所示。面齒輪樣件采用樹脂材料,通過控制刀具軸和工件軸定比例轉動,同時附加刀具一個徑向的位移,實現了面齒輪的車齒加工。試驗初步驗證了面齒輪車齒加工方法的正確性,后續還需開展針對鋼材料的面齒輪車齒加工,以研究車齒加工參數對實際加工過程的影響規律。

四、結論
1) 從交錯軸斜齒輪副的工作原理出發,分析了車齒刀具的設計原理,建立了加工運動關系模型和車齒加工坐標系,推導了車齒刀具刃口切削點的切削速度。
2) 根據切削原理,建立了切削角度的數學模型,分析了刀具切削角度在加工過程中的變化規律,分析了車齒刀具設計參數(前角和后角)對切削角度的影響。
3) 利用加工仿真對車齒過程進行了分析,得出了切削力隨分析步長的變化規律,并對刀具速度和刀具進給量進行了對比分析,開展了加工試驗,驗證了車齒加工面齒輪方法的正確性。
為了盡可能降低刀具的制造成本,可以將車齒刀具的基體和齒設計成裝配形式,基體可以用更便宜的材料制成。當刀具的齒損壞時,只更換部分齒,而不更換整個車齒刀具。仿真得到的面齒輪齒面與理論齒面之間存在一定的誤差,分析原因在于車齒刀具前角給齒形帶來誤差,后續處理誤差有待進一步研究。
參考文獻略.
