齒輪作為機械傳動系統的重要組成單元,傳動系統在運行過程中,齒輪輪齒的健康狀態直接影響整臺機械的工作效率。經大量研究與統計,齒輪在循環彎曲應力和應力集中等條件下,齒輪的失效形式主要表現為齒輪的齒面點蝕、輪齒磨損、齒根裂紋和齒面膠合等故障現象。在上述齒輪故障中,輪齒的齒根裂紋占據 40%的比重,其是齒輪故障的主要表現形式。當輪齒故障發生時,輕則導致停機,影響生產效率,重則引起重大經濟損失,甚至是出現人身傷亡等重大事故。
當齒根裂紋產生后,新裂紋會進一步延伸或擴展,將會導致輪齒斷裂。根據不同狀態的齒根裂紋對齒輪的嚙合剛度帶來較大影響,使齒輪系統的傳動特性和傳動效率大為降低。另外,齒根裂紋還會引起傳動系統的振動,惡化機械設備的運行環境,給傳動系統的穩定性帶來巨大挑戰,導致機械設備的使用壽命降低。最終,大幅度增加了設備的使用和維護成本。
針對輪齒齒根裂紋的研究,國內外有許多專家和學者在此領域貢獻出大量的研究成果。如文獻以風電機的增速齒輪組為研究對象,采用了非線性動力學理論和數值仿真法研究了齒根裂紋對輪齒時變嚙合剛度的影響情況。文獻基于勢能法,計算含有磨損和裂紋的齒頂修形斜齒輪的嚙合剛度,并將計算結果與仿真結果對比,驗證了勢能法研究輪齒嚙合剛度的有效性。文獻采用有限元法研究齒根裂紋擴展路徑,并采用勢能法求解了裂紋路徑與時變嚙合剛度之間的力學關系。文獻研究齒根裂紋尖端到單齒中線的距離與 1/2 齒頂圓齒后的關系,采用能量法分析嚙合剛度與輪齒裂紋深度之間的變化關系,得出了裂紋深度大于 50%時輪齒剛度值減小幅度加劇。并且,采用有限元法仿真驗證理論模型的有效性。但是,這些研究成果都沒有涉及到齒根裂紋擴展方向和裂紋深度對多種輪齒嚙合剛度值的影響情況。
因此,本論文在上述研究的基礎上,采用能量法,考慮了輪齒的 Hertz 接觸剛度、徑向壓縮剛度、彎曲剛度和剪切剛度 4 種剛度形式。同時,考慮了齒輪本體柔性變形對理論剛度值的偏差較大,并給出了理論剛度計算方法的修正形式,能夠得到理論計算結果與實際剛度數值進一步相接近。
一、輪齒嚙合時變剛度的原理
采用輪齒嚙合變形的能量法,研究輪齒時變嚙合剛度與 4 種主要變形情況的計算關系。再利用鍵合圖建模法,建立單、雙齒周期性交替嚙合的剛度模型,并通過數值仿真的方式研究輪齒的時變嚙合剛度與相關參數之間的變化規律。
單齒嚙合剛度
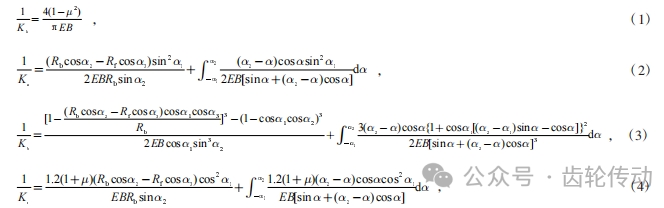
輪齒嚙合傳動時,儲存在輪齒內部的能量主要有 4 種:Hertz 接觸能、徑向壓縮變形能、彎曲勢能和剪切變形能。根據能量法的計算原理,結合圖 1 所示的單齒嚙合時輪齒的受力情況,可分別得出輪齒的 Hertz 接觸剛度、徑向壓縮剛度、輪齒的彎曲剛度和輪齒的剪切剛度的計算關系(齒數小于 41),如式(1)—(4)所示。當齒輪的齒數大于 41 時,可將這 4 種剛度公式中的非積分項去掉,并將積分項的積分上限 α2 改為 α4 即可。

式中:μ 為泊松比;E 為彈性模量;B 為齒寬;α 為壓力角; ![]()
采用能量法,考慮輪齒的 Hertz 接觸剛度、徑向壓縮剛度、彎曲剛度和剪切剛度等 4 種剛度形式。按照這種方法計算輪齒的嚙合剛度時,因沒有考慮齒輪本身的柔性變形,從而導致計算得出的理論剛度值比齒輪的實際剛度值偏大。若不解決這個問題,將會對后續輪系動態特性的研究帶來較大影響。
根據相關文獻,給出了齒輪本體柔性變形的計算關系,如式(5)所示
式中:B 為輪齒的齒寬;αm 為嚙合角;L* 、M* 、P* 、Q* 為多 項式的系數項,滿足式(6)的函數關系
式中:X* ={L* ,M* ,P* ,Q* },且各參數的含義及取值,詳見文獻。
即,齒輪基體的柔性剛度 Kf,由式(7)求得
當主、從動齒輪在單嚙合區嚙合時,可根據機械系統剛度串聯原理計算,將這對輪齒嚙合的綜合時變嚙合剛度 Ksgle 的計算關系,如式(8)所示
式中:i 為 1、2,分別為主動輪、從動輪。
雙齒嚙合剛度
同理,主、從動齒輪對應輪齒在雙嚙合區嚙合時,可按照并聯剛度原理計算,其輪齒嚙合的綜合時變嚙合剛度 Kttal 的計算關系,如式(9)所示

式中:i 為 1、2 時分別為第一對嚙合的輪齒、第二對嚙合的輪齒。

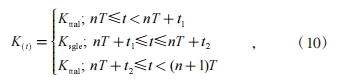
單、雙齒嚙合時變剛度
根據式(8)、式(9),可得出齒輪傳動系統的綜合時變嚙合剛度 K(t),可按照式(10)所示的關系描述

式中:輪齒從進入嚙合開始直至完全退出嚙合時的周期記作 T;n 為輪齒順序號;則第二對主、從動齒輪的輪齒進入嚙合時時間為 t1,t1=T/ε;以及第三對主、從動齒輪的輪齒進入嚙合階段的時間為 t2,t2=1-1/ε;ε 為齒輪的重合度,其值在(1,2)的范圍內。
二、齒根裂紋的力學模型
齒根裂紋的力學原理
圖 2 是含有齒根裂紋 AB 的單齒模型,假設 A 點是齒根受力的最大值點,也是裂紋開始產生的起始點,B 點是裂紋的截止點(尖端奇異點)。裂紋 AB 與輪齒中心線的夾角為(裂紋擴展的方向角),假設該角在裂紋擴展時始終保持為同一常數。同時,假設含有裂紋的輪齒在齒根部位尚未產生撓度變形,該輪齒仍然可簡化為變截面的懸臂梁。在這種條件下,該輪齒的齒廓曲線仍保持完好。因此,輪齒的赫茲剛度和徑向壓縮剛度均與正常齒輪的剛度一樣。但是,由于齒根裂紋的存在,從而改變了齒根位置處的受力環境,導致輪齒的彎曲剛度和剪切剛度發生變化。

含有齒根裂紋故障時,在距離基圓距離為 x 位置處的慣性矩 Ix 和有效截面積 Ax 的計算關系,改變為式(11)和式(12)所示

式中:B 為輪齒沿軸向方向的厚度。
齒根裂紋仿真模型的設置
圖 3 是輪齒的齒根裂紋擴展示意圖,如裂紋的上邊界為 AG,下邊界為 CG。D 點是裂紋上、下邊界初始點 A、C 連線的中點,G 點是裂紋尖端點。連接 DG 并反向延長與輪齒中線 OO 交于 B 點,即以線段 DG 的長度近似描述裂紋的大小。ν 是裂紋 DG 與輪齒中線 OO 的夾角,即為裂紋擴展的方向角。根據齒根裂紋在不同尺寸下的長度 lx,來定義裂紋故障擴展的程度,其定義方法見表 1。

三、齒根裂紋對嚙合時變剛度的影響研究
裂紋擴展程度與嚙合剛度之間變化關系的研究
本節采用數值仿真的方法,來說明齒根裂紋擴展程度與嚙合剛度之間的波動關系。根據輪齒嚙合剛度的計算關系式與給出的仿真條件,得出了如圖 4 所示的是一對嚙合傳動齒輪時變剛度的變化曲線,其參數:齒數 Z1=16,Z2=24;模數 m=4.5 mm;齒寬 B=38 mm;彈性模量 E=2.1×105 N/mm2 ;泊松比 μ=0.3。
從圖 4 中可得,正常健康輪齒的時變嚙合剛度呈現出恒周期性;當單個輪齒的齒根出現裂紋故障時,使該輪齒的嚙合剛度明顯降低很多,且在整個時變嚙合剛度圖中故障剛度也隨著齒輪轉動角頻率而呈現出大周期性。另外,時變嚙合剛度值的大小,隨著齒根裂紋故障嚴重程度的增大而減小。而且,隨著齒根裂紋擴展的嚴重程度進一步增強,時變嚙合剛度由雙齒嚙合到單齒嚙合和單齒嚙合到雙齒嚙合等過渡階段的突變現象較大。

裂紋擴展方向與嚙合剛度之間變化關系研究
本節采用數值仿真法,研究齒根裂紋擴展方向與嚙合剛度之間的波動關系。根據直齒圓柱齒輪自身的特性,結合圖 3 所示的裂紋擴展模型,將裂紋擴展的方向設定為 20°、30°、45°和 60° 四種特殊的角度。
按照設置好的仿真條件,通過仿真計算后,得出如圖 5 所示的一對相互嚙合傳動的齒輪,反映出不同程度輪齒齒根裂紋擴展方向與時變剛度間的變化曲線,其參數:齒數 Z1=16,Z2=24;模數 m=4.5 mm;齒寬 B=38 mm;彈性模量 E=2.1×105 N/mm2 ;泊松比 μ=0.3。

由圖 5(a)所示的前期裂紋與時變嚙合剛度的變化曲線可得:當齒根裂紋在前期時,其含齒根裂紋故障輪齒的剛度值,隨著裂紋擴展角度的增大而減小。同時,單對輪齒嚙合剛度由健康輪齒時的非單調性向單調遞減方向轉變。
圖 5(b)所示的中期裂紋的嚙合剛度曲線可得:此時,含齒根裂紋故障輪齒的剛度值,隨著裂紋擴展角度的增大而增大。同時,單對輪齒嚙合剛度曲線的單調性增強。
同理,圖 5(c)所示的后期裂紋的嚙合剛度變化曲線中得出,其變化規律與前期、中期裂紋對剛度值的影響規律相同。
裂紋擴展方向與嚙合剛度變化的局部區域,含有齒根裂紋輪齒的時變剛度值隨著裂紋擴展程度的增大而降低。當齒根裂紋在擴展的整個時期里,故障輪齒的時變嚙合剛度值隨著方向角的增大而增大。另外,故障輪齒的時變嚙合剛度值,隨著裂紋擴展程度嚴重性的增強,方向角度的變化對時變嚙合剛度值的影響程度降低。
四、結論
本論文基于能量法,針對齒輪的齒根裂紋擴展與時變嚙合剛度之間變化關系,經研究得出了以下幾點結論。
1)在傳統剛度的理論模型基礎上,采用能量法,考慮了輪齒的 Hertz 接觸剛度、徑向壓縮剛度、彎曲剛度和剪切剛度 4 種剛度形式。同時,將齒輪的柔性變形也考慮在內,建立起優化的時變嚙合剛度的理論模型。
2)在輪齒齒根裂紋擴展程度與時變嚙合剛度間的變化關系的研究中,得出了時變嚙合剛度值的大小,隨著齒根裂紋故障嚴重程度的增大而減小。
3)在對裂紋擴展方向與嚙合剛度之間變化關系的研究中,得出了時變嚙合剛度值隨著裂紋擴展角度的增大而增大。
4)齒根裂紋的擴展程度和擴展方向,對時變嚙合剛度的變化規律影響不大。
參考文獻略.
