一、背景和意義
針對調整偏心軸,設計專用加工車床如下,既要求其性能穩定及操作方便又要符合傳統的審美觀,它能完成多種加工工序:車削內外圓柱面、圓錐面、端面、切斷等加工。零件圖如圖1、表1所示。

二、調整偏心軸機械加工工藝過程
三爪自定心卡盤夾緊方鋼一端,卡盤外長度40mm,車端面;車螺紋外徑
及切槽2×Φ6.5mm,長11mm, 倒角1×45°;車螺紋 M8;切斷,保證總長34mm車偏心部分,關鍵保證2mm的偏心距。因偏心軸各部分尺寸較小,偏心加工可在車床上裝一個偏心夾具來完成。即以 M8螺紋及其端面為定位基準車偏心,在工裝上加工一個 M8的螺紋孔,與螺紋配合后,加墊片,裝夾在卡盤上,找正。
三、總體布局
根據調研、工程現場和相關資料進行整理確定了JC615車床的總體方案與結構布置。車床主要由主軸箱、電動機、進給機構、尾座組成。下面就這四個部分做概訴,并和 CA6140車床進行對比,詳細討論簡化后JC615結構有何差異,功能有何優劣。
設計總體方案如下:1)采用交流調速電機取代傳統的主軸電機,實現多段調速,完全滿足齒輪加工的需要。2)簡化傳動形式,達到多檔調速傳動的結構。3)潤滑系統采用飛濺油潤滑。減少運動部件之間的摩擦,對刀具和原料之間冷卻、密封、防銹、過濾雜質等功能。選168ZYT51永磁直流電動機,額定功率1.5kW,額定轉速1500r/min。額定電壓380/220(V)。額定電流是12A。
四、傳動系統的選擇和設計
設計考慮傳動的相對運動是平面運動還是空間運動:
實現平面運動還是空間運動,其角速度必須保持一致,按照以下原則(即傳動副數多和傳動副數少的變速組的組合):
1)6=2×3; 2)6=3×2
根據齒輪傳動必須保持準確傳動比的原則,方案1是可以滿足加工需要的。但是,應從換向開關中先斷開的一刀開始算起,換向開關的時間與第一個暫態過程的時間相重疊,動作時間是下一個暫態動作時間的4~30倍,因此方案1存在很大的弊端。
設計變速組合的時間要素:
6=3×2的傳動結構,考慮時間因素,新的傳動系統綜合主副傳動的結構形式:
1)6=32×21;2)6=31×23
根據主副傳動必須保持準確傳動比的原則,考慮轉換開關換向時,將產生一定的結構尺寸的限制,有可能造成傳動機構不匹配。
第一變速組采用降速傳動(圖2)時,由于不具有反向鎖止功能,使得輸出軸和輸入軸不在同一條直線上,坐標的偏移量較大,造成傳動效率不高,能量消耗較大,精度不高,加工誤差成幾何倍率增加。這種設計不可取。

第一變速組采用升速傳動(圖3),主軸的升速傳動是利用柔性原件可控的彈性形變來傳遞動力,體積較小,精度較高,但是柔性原件剛性不夠,不耐沖擊,輸出轉矩較大,回程間隙小,性價比不高,不易采用。

繪制轉速圖:
(1)驗算傳動組變速范圍
第二擴大組的變速范圍是:
符合設計原則要求。
(2)分配降速比
傳動比=從動輪齒數/主動輪齒數=主動輪轉速/從動輪轉速i=z2/z1=n1/n2。
當式中的角速度為瞬時值時,則求得的傳動比為瞬時傳動比。當式中的角速度為平均值時,則求得的傳動比為平均傳動比。理論上對于大多數漸開線齒廓正確的齒輪傳動,瞬時傳動比是不變的;對于鏈傳動和摩擦輪傳動,瞬時傳動比是變化的。

五、齒輪設計計算
(1)選擇齒輪類型、精度、材料
①傳動方案如圖3所示,選用直齒圓柱齒輪。
②本設計車床為專用零件加工設備,精度較高,轉速下降,需要進行補償。
③材料選擇,由《機械設計》表10-1選擇小齒輪材料為40Cr(調質)硬度為280HBS,大齒輪材料為45鋼(調質),硬度為240HBS,二者硬度差為40HBS。
(2)按齒面接觸強度設計
由設計公式進行計算,即:

確定公式內的各計算數值。
①考慮零件在加工中動載系數kt=1.3
②主副齒輪傳動的扭矩
③加工齒輪的直徑φd=1
④由《機械設計》式10-13計算應力循環次數

⑤計算接觸疲勞許用應力
取失效概率為1%,安全系數S=1,由《機械設計》式10-12得

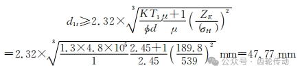
計算 ①試計算小齒輪分度圓直徑 d1t,代入[σH]中的較小值

②計算圓周速度

③計算齒寬
④計算寬高比 ![]()

⑤計算載荷系數
載荷系數是計算載荷與額定載荷的比值,通常取K≥1。
⑥按實際的載荷系數校正所得的分度圓直徑,由式 (10-10a)得

⑦計算模數 m
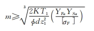
(3)根據齒根彎曲強度設計
由《機械設計》式(10-5)得彎曲強度設計公式:

六、片式摩擦離合器的選擇和計算
雙向式多片摩擦離合器的作用控制主軸的啟動,停止和換向。實現主軸轉向變換功能主要結構摩擦片處于兩反向旋轉主摩擦片間同同主摩擦片結合實現主軸轉向變換處于離狀態主軸停止。要求傳遞大扭矩,可增加摩擦面對數,而不必增大離合器的徑向尺寸和軸向壓緊力,這有利于降低離合器的轉動慣量。片式離合器主副存在一定 轉速差值才能產生轉矩,即:Mt≥KMn。
根據設計要求,離合器中動摩擦系數盡量和靜摩擦系數相近,強度高,耐摩擦,導熱性好,熱慣量大,不易變形等。
機床實用摩擦片慣量很小,散熱性好,調整方便,分離徹底,但所能傳遞的扭矩小,一般不超過1000N·m。多盤式有多對摩擦面,傳遞的扭矩可達8×106 N·m。但表中推薦的尺寸不合適時,可自行設計。
七、裝配方案
根據離合器的安裝要求,軸肩右側取d3 =25mm,調心球軸承 1212 尺 寸 為 d×D×T=25 mm×52 mm× 15mm,所以d3 處長度為15mm,此處需制出退刀槽,故 d3 左端退刀槽長度為2 mm,右端長度有2 mm,所以 d3 處分了三段,由于軸承要定位,所以軸承右端用圓螺母定位,故取d1=22mm,L1=6mm。
離合器右端設計時候,為了滿足與離合器的安裝和箱體的配合,取離合器左端d5 =75mm,L5 =57mm。d5 段左側是箱體壁,需要與軸承座和軸承配合,故d5 段左側制一軸肩,并且d6=51mm,L6=12mm,軸肩右側用軸承安裝配合,故取滾動軸承 6120,其尺寸為 d×D ×T = 45mm×25mm×25mm,故d7=45mm。
d8 段處于變速箱主工作箱體的內部,考慮到d8段左側要安裝雙聯滑移齒輪,和箱體結構的設計,取 d8=40mm,L8=51mm。安裝雙聯滑移齒輪的d9 段,取d9=38mm 考慮到箱體結構設計,取L9=176mm。
d10段處于箱體壁軸承座處,取d10 =30mm,且d10與 d9 段之間制有退刀槽,取退刀槽長度為3mm,且考慮到齒輪轉動回油潤滑油飛濺到軸承里面,故需在d10上安裝一個擋油盤,長度為20mm,且此處軸承取為標準滾子軸承6120,其尺寸為d×D×T=30mm×72mm×19mm,故取L10=36mm。
八、優化后的車床在汽車此輪加工中的應用
齒輪加工采用成形法,機床不需要表面成形運動。機床需要兩個成形運動。一個是銑刀的旋轉 B1,一個銑刀沿齒坯的軸向移動 A。合理選擇加工精度高、效率高的切削工具,決定了加工時間、加工效率、加工的質量,加工條件和加工方式往往對零件的完整度有不可缺少的影響。刀具加工零件按漸開線形成軌跡,以滿足刀具的偏移量,盡量縮短加工路線,減少空刀運動時間。將加工零件的余量考慮在內,優化加工的流程,方便補償。
把齒輪嚙合副(齒條——齒輪、齒輪——齒輪)中的一個轉化為刀具;另一個轉化為工件,并強制刀具和工件作嚴格的嚙合運動而范成切出齒廓。范成法切齒所用刀具切削刃的形狀相當于齒條或齒輪的齒廓,它與被切齒輪的齒數無關。
每一種模數,只需用一把刀具就可以加工各種不同齒數的齒輪;加工時能連續分度,加工精度和生產率一般比較高,應用廣泛。此法必須在專門的齒輪機床上加工,而且機床的調整、刀具的制造和刃磨都比較復雜,一般用于成批大量生產。
參考文獻略.
