編者按:
各位粉絲朋友們,歡迎閱讀本期小編推送的《汽車驅動橋螺旋錐齒輪齒面測量誤差補償方法》文章。文章主要介紹了提升汽車驅動橋螺旋錐齒輪齒面加工質量對整車的安全與節能性能有重要意義。
該文針對汽車驅動橋螺旋錐齒輪實測和理論齒面存在的測量誤差,提出了一種基于對偶四元數優化的迭代最近點(ICP)齒面測量誤差補償方法。
本篇文章因篇幅較長,特安排兩期推送。
本期推出:汽車驅動橋螺旋錐齒輪齒面測量誤差補償方法(一)
提升汽車驅動橋螺旋錐齒輪齒面加工質量對整車的安全與節能性能有重要意義,該文針對汽車驅動橋螺旋錐齒輪實測和理論齒面存在的測量誤差,提出了一種基于對偶四元數優化的迭代最近點(ICP)齒面測量誤差補償方法。將誤差補償問題轉化為兩曲面的配準問題,利用對偶四元數對齒面配準模型進行表示并得出誤差矩陣,將誤差矩陣線性化并使用凸松弛的全局優化算法對其實部進行優化,實現螺旋錐齒輪齒面的精確配準。結果表明:螺旋錐齒輪凹齒面的誤差補償率最高達77%,最大誤差由補償前的22.11μm降至5.64μm,平均誤差由補償前的10.34μm降至2.38μm,該算法與傳統奇異值分解法(SVD)、四元數法和Levenberg-Marquardt 法(L-M)相比有更高的求解精度和穩定性,證明所提出的補償方法具有可行性。
螺旋錐齒輪是機械設備中關鍵基礎元件之一,廣泛應用于汽車、造船、工程機械、建筑機械和交通運輸機械等領域。汽車驅動橋螺旋錐齒輪齒面的加工質量直接影響主減速器齒輪傳動的噪聲、齒輪壽命以及傳遞效率等,進而影響到汽車的質量和安全性能。精確的齒面測量和誤差補償可以顯著提高齒輪的嚙合質量,減少能量損失,提升傳動效率,降低燃油消耗,促進汽車節能。因此,對驅動橋螺旋錐齒輪齒面測量誤差進行分析和補償具有重要意義。
在齒輪測量機測量汽車驅動橋螺旋錐齒輪齒面的過程中,回轉軸傾斜和大端端面加工誤差等多種因素導致理論齒面與實測齒面存在偏差。韓連福等分析了齒輪測量機的拓撲結構,由拓撲結果采用多體系統理論建立了齒輪測量機幾何誤差補償模型。邢元等提出一種基于歐式線性空間的軟件誤差補償方法,通過 二級補償機制有效提高齒面加工精度。宋碧云等基于改進的levenberg-marquardt法(levenberg-marquardt,L-M) 并選取敏感性較高的加工參數對螺旋錐齒輪齒面誤差進行補償。硬件補償方法成本高且零件測量時出現的誤差是不可避免的,軟件補償方法是現在的主流方法,但目前存在計算強度大、迭代不收斂以及誤差補償不夠精確等問題。目前最常用的齒面配準方法是迭代最近點算法 (iterative closest point,ICP),其實質是基于最小二乘法,將最近點迭代并通過更新兩組曲面數據的對應關系,實現兩齒面的精確配準。LIU Yongsheng等用阻尼Gauss-Newton法代ICP算法中奇異值分解法(singular value decomposition,SVD)來求解幾何變換矩陣,有效實現了測量齒面向理論齒面的配準補償,但其容易陷入局部最優解。ZHOU Lihua等提出了一種匹配點搜索方法,解決了測量齒面與理論齒面之間的對應關系,但其空間復雜度和時間復雜度較高。XIE He等提出了基于點到球面配準的最近鄰精細配準算法,將配準問題轉化為非線性優化問題,利用Taylor展開式求解配準運動參數,但其需要選擇適當的初始參數。
為解決現有齒面測量誤差補償方法存在的問題并實現理論齒面與實際齒面偏差的補償,本文首先進行兩齒面之間的配準;針對現有齒面誤差補償方法和ICP算法的局限性,利用對偶四元數在同時處理旋轉和平移變換中的優勢,提出一種基于對偶四元數優化的ICP迭代誤差補償算法,以解決傳統ICP方法容易陷入局部最優解的問題;利用對偶四元數獲取誤差矩陣,將誤差矩陣線性化并進行凸松弛優化,以此提高齒面配準的精度和穩定性;最后通過實測實驗驗證本文提出算法的有效性。
1螺旋錐齒輪齒面測量誤差分析
汽車驅動橋由螺旋錐齒輪、差速器、車輪傳動裝置等關鍵部件組成,作為汽車傳遞動力的關鍵組件,其性能和可靠性直接影響整車的動力表現和行駛安全性。 驅動橋螺旋錐齒輪齒面測量誤差為實際測量齒面與理論齒面之間存在的偏差。如圖1所示,在齒輪軸上建立理論坐標系 {O: X, Y, Z},螺旋錐齒輪齒面任意 理論測量點Pi與其對應的實際測量點Qi之間的差即為該點齒面偏差δi。當測頭到達預設測量位置時,實際測頭球心C'i與實測點Qi都在法向量ni方向上,齒面與測頭的接觸點Qi處于法線方向nQ上,Qi點到Pi點的距離等于實際測頭球心C'i與理論測頭球心Ci之間的距離di。
在實際測量中,螺旋錐齒輪齒面是連續光滑曲面,偏心和傾角誤差導致被測齒面與理論齒面不一致,接觸點處的法線方向與齒面法線方向并不完全一致。如圖2所示,實際測頭球心與實際接觸點Qi不在ni上,接觸點法向nQ與ni也不在同一方向上。理想接觸點Pi與實際接觸點Qi有一定距離,此時齒面偏差δi為點Pi到點Qi的距離。
由幾何關系可知:AB與BE的和為測頭半徑,由于CNC齒輪測量機的測頭半徑很小,E與Pi的距離非常近,所以PiF的距離近似等于AB的距離,則此時δi的值可以用式 (1) 近似表示:
其中:di為實測球心與理論球心之間的距離;ni為理論齒面的法向量。
設理論齒面數據點集為P,由{P1, P2, ?Pn} 構成,實際測量數據點集為Q,由{Q1, Q2, ?Qn} 構成,齒輪的實測齒面測量點Qi可以由理論齒面數據點Pi 、齒面偏差δi和法向量ni表示,如式 (2) 所示:
為了減小甚至消除實測齒面與理論齒面之間的偏差,需要實現理論齒面與實測齒面的精確配準,利用配準結果實現螺旋錐齒輪的齒面誤差補償。
2傳統對偶四元數算法及齒面配準模型
對偶四元數的形式與性質:對偶四元數表征旋轉矩陣和平移向量的方式與傳統方式不同,它們之間存在一定的數學關系。理論點構成的坐標系O和實際測量點構成的坐標系S之間的變換關系可以近似地通過一個平移矢量和一個單位四元數來表示,也可以采用一個更加緊湊和簡潔的方式來表示,即單位對偶四元數,如式 (3) 所示:
其中:qO/S, R為對偶四元數的實部;qO/S, T為對偶四元數的對偶部;ε是一個與實數域R垂直的維度單位長度,它滿足ε2=0 ;M1O/S=(0, M1O/S) 代表理論坐標系O的原點到實測坐標系S的原點之間的矢量。式(3)也可以簡潔表示為式(4):
其中:r和s是q的實部和對偶部,且r=r1+r2i+r3j+r4k,s= s1+s2i+s3j+s4k ;單位對偶四元數滿足單位性和正交性。任意四元數p和q相乘可以通過矩陣U(p)和W(q)來表示,如式(5) 所示:
其中,矩陣U(p)和W(q)分別是四元數p和q的四元數矩陣,且U(p)稱為W(q)的蛻變矩陣,具體值如式(6)所示:
其中:C(p)為偏對稱矩陣,也稱為反對稱矩陣,
齒面配準模型:驅動橋螺旋錐齒輪齒面的誤差補償數學模型本質上是三維空間曲面的相似變換,齒面理論測量點集P的空間變換用旋轉矩陣R和平移矩陣T表示,經過空間變換得到點集Q',如式(7)所示:
其中,T是由平移向量t構成的矩陣。
點集Q'與實測點集Q的差值即為誤差矩陣E,如式(8)所示:
傳統方法選擇距離較大的對應點通過奇異分解 (SVD) 方式獲得變換矩陣R、T。首先根據參與求解的理論與實際點云的質心構造分解矩陣,將其進行SVD分解,將矩陣正交對角化分解得到2個特征向量矩陣,最后求解得到旋轉矩陣R和平移矩陣T。由于螺旋錐齒輪齒面理論點云與測量點云之間的誤差較小且一一對應,不存在噪音點,不需要進行控制點的選取過程,且不需要對最近點進行搜索,可采用定向點對點的精配準方式,如圖3所示。
3對偶四元數優化的ICP迭代算法
基于對偶四元數優化的ICP迭代誤差補償算法是以對偶四元數的形式將齒面配準方程分解為旋轉矩陣和平移矩陣2部分,獲取誤差矩陣方程并建立新的問題模型,提取同名特征點并將兩點集進行粗配準。為得到更精確的配準結果,將誤差矩陣方程線性化并對其中的旋轉矩陣進行全局優化,使用MATLAB的Sedemi工具進行凸松弛優化得到全局最優解。根據平均誤差、最大誤差、誤差補償率和方差驗證算法補償結果的準確性。
旋轉參數與平移參數的對偶四元數表示:對偶四元數的幾何意義可以表示為2個三維集圍繞著一個軸做剛體運動,先沿著向量n做平移運動至p'點,平移距離為d,然后在p'點繞向量n旋轉θ角度到pS點,如圖4所示。
式(4)可以由圖4的幾何關系重寫,如式(9)所示:

其中
式(4)中的實部r和對偶部s與式(9)中n和θ的關系如式(10)所示:
因四元數法能保持方程是線性的且不產生奇異,任何三維空間的向量都可以用實部為0的四元數表示,所以引入2個以坐標向量為正值的純虛四元數,如式(11)所示:
將純四元數p經過四元數r旋轉變換到p',如式(12)所示:
其中,W(r)TU(r)可拓展為矩陣
平移四元數t'的表示如式(13)所示:
而式(8)可以用對偶四元數重新表示,如式(14)所示:
其中:pOi =(xOi , yOi , zOi)T與pSi=(xSi ,ySi ,zSi)T 表示理論測量點與該點對應的實際測量點的控制向量;W(r)TU(r)為旋轉矩陣;2W(r)Ts為平移矩陣;λ為比例因子。在螺旋錐齒輪齒面誤差補償算法中,理論齒面和實測齒面的整體大小的差別很小,因此本文中涉及的比例因子λ近似為1。
將式(14)進行線性化,從實測齒面數據點與理論齒面數據點中提取同名特征點,可以得到誤差方程, 如式(15)所示:
其中:E=(ex, ey, ez)T ,V=(vx, vy, vz)T ,X=(dr1, dr2, dr3, dr4, ds1, ds2, ds3, ds4);A是根據KD-tree搜索出的點坐標構成的矩陣;L是與A同名特征點對應的矩陣。
旋轉矩陣的全局優化:在實際測量中,汽車驅動橋螺旋錐齒輪測量齒面與理論齒面的質心相差不大,優化兩齒面間的平移向量對最終誤差補償效果的影響甚微,所以本文僅針對旋轉矩陣進行全局優化。神經網絡、模擬退火、禁忌搜索等啟發式全局優化算法具有廣泛的適用性,但通常需要調節多個參數以實現最佳性能,分支限界法的技巧性更強,由于具體問題的差異,分支限界法的具體實現方法并不具有普適性。凸優化方法是通過將目標函數轉化為階數更低的凸函數 ,將可行區域轉化為凸包絡,使多極值非凸優化問題轉化為凸優化問題求解。針對低階(二次)的非凸函數優化問題,既能保證執行效率,又能保證求解的最優性。凸松弛優化方法最初由D. Hendon等將其應用于測算機器視覺中的三維重建問題,常用于機器學習、 電力系統等領域,該算法的優點是初值不需預估便獲得最優解。為了最大限度確保每次求解的優化結果都能收斂到全局最優解,本文提出將對偶四元數與凸松弛優化算法結合進行求解。為了避免求解過程中出現2個最優解的情況,同時確保特征點求解的數值穩定性,增加約束條件 r·sT=0和rT·r=1,并在確定松弛系數后,利用線性矩陣建立凸優化模型。以最小化方程式(8)為幾何誤差目標函數,以對偶四元數的性質為約束條件,建立二階多項式優化問題并進行優化,具體步驟如下。
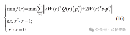
步驟1:確定最大迭代次數,定義對偶四元數變量:r=(r1, r2, r3, r4)T ,s=(s1, s2, s3, s4)T,初始值 r=(1, 0, 0, 0)T,s=(0, 0, 0, 0)T,建立目標函數minf(r),如式 (16) 所示:
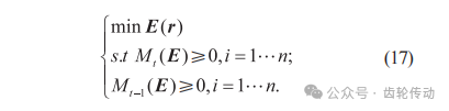
步驟2:確定松弛系數,將線性化后的式(15)引入,確定凸優化模型,如式(17)所示:
其中,當Mt(E)與Mt-1(E)滿秩時,才能得到全局優化解,進行下一步。
步驟3:通過調用線性優化求解器Sedumi工具箱得到最優解,進而得到對偶數實部r。
步驟4:將得到的r代入式(17)中得到對偶部s。
步驟5:輸出對偶四元數q。
旋轉矩陣的凸松弛優化流程如圖5所示。
對偶四元數轉換坐標的精度計算:
確定參數精度的必要性在于確保對偶四元數模型的可靠性和準確性,便于有效地描述和預測復雜算法的行為。基于對偶四元數優化的ICP迭代算法獲得的最終結果,需要通過計算精確度來驗證算法的有效性。設理論點集P和測量點集Q對應各點的歐式距離為fi',由此得出對應點的歐式距離和F0=Σfi',將基于對偶四元數優化的配準算法與現有文獻提出的其他配準算法的結果進行對比。本文將算法配準后最小歐氏距離和Fmin設定為最終誤差。在此基礎上定義B為整體誤差補償率來驗證算法的精確度,如式(18)所示:
進一步定量分析配準的精度,引入平均誤差
和方差s2E,
是指補償后齒面對應點之間距離的均值,可以評判補償算法的優劣性,s2E 是對應點之間距離與均值之差的平方和的平均值,可以反映各點補償結果的離散程度。
各位粉絲朋友們,歡迎閱讀本期小編推送的《汽車驅動橋螺旋錐齒輪齒面測量誤差補償方法》文章。文章主要介紹了提升汽車驅動橋螺旋錐齒輪齒面加工質量對整車的安全與節能性能有重要意義。
該文針對汽車驅動橋螺旋錐齒輪實測和理論齒面存在的測量誤差,提出了一種基于對偶四元數優化的迭代最近點(ICP)齒面測量誤差補償方法。
本篇文章因篇幅較長,特安排兩期推送。
本期推出:汽車驅動橋螺旋錐齒輪齒面測量誤差補償方法(一)
提升汽車驅動橋螺旋錐齒輪齒面加工質量對整車的安全與節能性能有重要意義,該文針對汽車驅動橋螺旋錐齒輪實測和理論齒面存在的測量誤差,提出了一種基于對偶四元數優化的迭代最近點(ICP)齒面測量誤差補償方法。將誤差補償問題轉化為兩曲面的配準問題,利用對偶四元數對齒面配準模型進行表示并得出誤差矩陣,將誤差矩陣線性化并使用凸松弛的全局優化算法對其實部進行優化,實現螺旋錐齒輪齒面的精確配準。結果表明:螺旋錐齒輪凹齒面的誤差補償率最高達77%,最大誤差由補償前的22.11μm降至5.64μm,平均誤差由補償前的10.34μm降至2.38μm,該算法與傳統奇異值分解法(SVD)、四元數法和Levenberg-Marquardt 法(L-M)相比有更高的求解精度和穩定性,證明所提出的補償方法具有可行性。
螺旋錐齒輪是機械設備中關鍵基礎元件之一,廣泛應用于汽車、造船、工程機械、建筑機械和交通運輸機械等領域。汽車驅動橋螺旋錐齒輪齒面的加工質量直接影響主減速器齒輪傳動的噪聲、齒輪壽命以及傳遞效率等,進而影響到汽車的質量和安全性能。精確的齒面測量和誤差補償可以顯著提高齒輪的嚙合質量,減少能量損失,提升傳動效率,降低燃油消耗,促進汽車節能。因此,對驅動橋螺旋錐齒輪齒面測量誤差進行分析和補償具有重要意義。
在齒輪測量機測量汽車驅動橋螺旋錐齒輪齒面的過程中,回轉軸傾斜和大端端面加工誤差等多種因素導致理論齒面與實測齒面存在偏差。韓連福等分析了齒輪測量機的拓撲結構,由拓撲結果采用多體系統理論建立了齒輪測量機幾何誤差補償模型。邢元等提出一種基于歐式線性空間的軟件誤差補償方法,通過 二級補償機制有效提高齒面加工精度。宋碧云等基于改進的levenberg-marquardt法(levenberg-marquardt,L-M) 并選取敏感性較高的加工參數對螺旋錐齒輪齒面誤差進行補償。硬件補償方法成本高且零件測量時出現的誤差是不可避免的,軟件補償方法是現在的主流方法,但目前存在計算強度大、迭代不收斂以及誤差補償不夠精確等問題。目前最常用的齒面配準方法是迭代最近點算法 (iterative closest point,ICP),其實質是基于最小二乘法,將最近點迭代并通過更新兩組曲面數據的對應關系,實現兩齒面的精確配準。LIU Yongsheng等用阻尼Gauss-Newton法代ICP算法中奇異值分解法(singular value decomposition,SVD)來求解幾何變換矩陣,有效實現了測量齒面向理論齒面的配準補償,但其容易陷入局部最優解。ZHOU Lihua等提出了一種匹配點搜索方法,解決了測量齒面與理論齒面之間的對應關系,但其空間復雜度和時間復雜度較高。XIE He等提出了基于點到球面配準的最近鄰精細配準算法,將配準問題轉化為非線性優化問題,利用Taylor展開式求解配準運動參數,但其需要選擇適當的初始參數。
為解決現有齒面測量誤差補償方法存在的問題并實現理論齒面與實際齒面偏差的補償,本文首先進行兩齒面之間的配準;針對現有齒面誤差補償方法和ICP算法的局限性,利用對偶四元數在同時處理旋轉和平移變換中的優勢,提出一種基于對偶四元數優化的ICP迭代誤差補償算法,以解決傳統ICP方法容易陷入局部最優解的問題;利用對偶四元數獲取誤差矩陣,將誤差矩陣線性化并進行凸松弛優化,以此提高齒面配準的精度和穩定性;最后通過實測實驗驗證本文提出算法的有效性。
1螺旋錐齒輪齒面測量誤差分析
汽車驅動橋由螺旋錐齒輪、差速器、車輪傳動裝置等關鍵部件組成,作為汽車傳遞動力的關鍵組件,其性能和可靠性直接影響整車的動力表現和行駛安全性。 驅動橋螺旋錐齒輪齒面測量誤差為實際測量齒面與理論齒面之間存在的偏差。如圖1所示,在齒輪軸上建立理論坐標系 {O: X, Y, Z},螺旋錐齒輪齒面任意 理論測量點Pi與其對應的實際測量點Qi之間的差即為該點齒面偏差δi。當測頭到達預設測量位置時,實際測頭球心C'i與實測點Qi都在法向量ni方向上,齒面與測頭的接觸點Qi處于法線方向nQ上,Qi點到Pi點的距離等于實際測頭球心C'i與理論測頭球心Ci之間的距離di。



設理論齒面數據點集為P,由{P1, P2, ?Pn} 構成,實際測量數據點集為Q,由{Q1, Q2, ?Qn} 構成,齒輪的實測齒面測量點Qi可以由理論齒面數據點Pi 、齒面偏差δi和法向量ni表示,如式 (2) 所示:
2傳統對偶四元數算法及齒面配準模型
對偶四元數的形式與性質:對偶四元數表征旋轉矩陣和平移向量的方式與傳統方式不同,它們之間存在一定的數學關系。理論點構成的坐標系O和實際測量點構成的坐標系S之間的變換關系可以近似地通過一個平移矢量和一個單位四元數來表示,也可以采用一個更加緊湊和簡潔的方式來表示,即單位對偶四元數,如式 (3) 所示:




點集Q'與實測點集Q的差值即為誤差矩陣E,如式(8)所示:


基于對偶四元數優化的ICP迭代誤差補償算法是以對偶四元數的形式將齒面配準方程分解為旋轉矩陣和平移矩陣2部分,獲取誤差矩陣方程并建立新的問題模型,提取同名特征點并將兩點集進行粗配準。為得到更精確的配準結果,將誤差矩陣方程線性化并對其中的旋轉矩陣進行全局優化,使用MATLAB的Sedemi工具進行凸松弛優化得到全局最優解。根據平均誤差、最大誤差、誤差補償率和方差驗證算法補償結果的準確性。
旋轉參數與平移參數的對偶四元數表示:對偶四元數的幾何意義可以表示為2個三維集圍繞著一個軸做剛體運動,先沿著向量n做平移運動至p'點,平移距離為d,然后在p'點繞向量n旋轉θ角度到pS點,如圖4所示。
式(4)可以由圖4的幾何關系重寫,如式(9)所示:




平移四元數t'的表示如式(13)所示:將式(14)進行線性化,從實測齒面數據點與理論齒面數據點中提取同名特征點,可以得到誤差方程, 如式(15)所示:

旋轉矩陣的全局優化:在實際測量中,汽車驅動橋螺旋錐齒輪測量齒面與理論齒面的質心相差不大,優化兩齒面間的平移向量對最終誤差補償效果的影響甚微,所以本文僅針對旋轉矩陣進行全局優化。神經網絡、模擬退火、禁忌搜索等啟發式全局優化算法具有廣泛的適用性,但通常需要調節多個參數以實現最佳性能,分支限界法的技巧性更強,由于具體問題的差異,分支限界法的具體實現方法并不具有普適性。凸優化方法是通過將目標函數轉化為階數更低的凸函數 ,將可行區域轉化為凸包絡,使多極值非凸優化問題轉化為凸優化問題求解。針對低階(二次)的非凸函數優化問題,既能保證執行效率,又能保證求解的最優性。凸松弛優化方法最初由D. Hendon等將其應用于測算機器視覺中的三維重建問題,常用于機器學習、 電力系統等領域,該算法的優點是初值不需預估便獲得最優解。為了最大限度確保每次求解的優化結果都能收斂到全局最優解,本文提出將對偶四元數與凸松弛優化算法結合進行求解。為了避免求解過程中出現2個最優解的情況,同時確保特征點求解的數值穩定性,增加約束條件 r·sT=0和rT·r=1,并在確定松弛系數后,利用線性矩陣建立凸優化模型。以最小化方程式(8)為幾何誤差目標函數,以對偶四元數的性質為約束條件,建立二階多項式優化問題并進行優化,具體步驟如下。
步驟1:確定最大迭代次數,定義對偶四元數變量:r=(r1, r2, r3, r4)T ,s=(s1, s2, s3, s4)T,初始值 r=(1, 0, 0, 0)T,s=(0, 0, 0, 0)T,建立目標函數minf(r),如式 (16) 所示:


步驟3:通過調用線性優化求解器Sedumi工具箱得到最優解,進而得到對偶數實部r。
步驟4:將得到的r代入式(17)中得到對偶部s。
步驟5:輸出對偶四元數q。
旋轉矩陣的凸松弛優化流程如圖5所示。

確定參數精度的必要性在于確保對偶四元數模型的可靠性和準確性,便于有效地描述和預測復雜算法的行為。基于對偶四元數優化的ICP迭代算法獲得的最終結果,需要通過計算精確度來驗證算法的有效性。設理論點集P和測量點集Q對應各點的歐式距離為fi',由此得出對應點的歐式距離和F0=Σfi',將基于對偶四元數優化的配準算法與現有文獻提出的其他配準算法的結果進行對比。本文將算法配準后最小歐氏距離和Fmin設定為最終誤差。在此基礎上定義B為整體誤差補償率來驗證算法的精確度,如式(18)所示:

